首页
文档
资源
地图
地图(Maplet)
历史舆图
史地知识
数据
计算
教程
专题
Python与开源GIS
WebGIS在线教程
Python教程
实验室
开源GIS中文文档
Python工具/类库中文文档
其它技术文档
开源地理空间基金会中文分会文档
捐赠本站
用户
我的信息
发表博客
首页
计算
几何计算
几何计算
No Title
MarkDown Content.
2025-12-17 01:41:43 UTC
No Title
MarkDown Content.
2025-12-17 01:41:43 UTC
三角形外接圆在线计算器
App说明 三角形外接圆计算公式 1.\(R = abc/4√[s(s-a)(s-b)(s-c)]\) 2.\(S= (a + b + c)/2\) 使用示例 输入数据: 边a:3 边b:4 边c:5 点击“计算”,输出数据 外接圆半径:2.5 外接圆...
2025-12-17 01:41:43 UTC
No Title
MarkDown Content.
2025-12-17 01:41:43 UTC
No Title
MarkDown Content.
2025-12-17 01:41:43 UTC
No Title
MarkDown Content.
2025-12-17 01:41:43 UTC
No Title
MarkDown Content.
2025-12-17 01:41:43 UTC
No Title
MarkDown Content.
2025-12-17 01:41:43 UTC
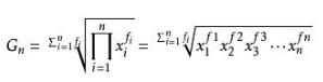
几何平均数在线计算器
APP说明 几何平均数是对各变量值的连乘积开项数次方根。求几何平均数的方法叫做几何平均法。 如果总水平、总成果等于所有阶段、所有环节水平、成果的连乘积总和时, 求各阶段、各环节的一般水平、一般成果,要使用几何平均法计算几何平均数, 而不能使用算术平均法计...
2025-12-17 01:41:43 UTC
No Title
MarkDown Content.
2025-12-17 01:41:43 UTC
No Title
MarkDown Content.
2025-12-17 01:41:43 UTC
圆形面积在线计算
App说明 圆面积计算公式: \(S= π·r^2\) 使用示例 输入数据: 单位:米 半径:2 点击“计算”,输出数据 表面积:12.5664平方米
2025-12-17 01:41:43 UTC
<
1
...
16
17
18
换算工具
94
其他换算
28
长度角度面积体积
29
功率、能量单位换算
20
速度速率换算
4
时间日期换算
2
质量重量压力换算
11
工程计算
196
建筑计算
28
材料计算
70
机械计算
15
地理工具
18
环境计算
65
IT计算与工具
105
Web计算与工具
44
计算机
61
物理化学
372
电力计算
5
分子原子
11
经典物理
232
电子计算
102
化学反应
22
数学计算
556
代数计算
218
概率统计
26
几何计算
284
三角函数计算
28
生活计算与工具
305
保险计算
5
健康计算
64
生活工具
213
财务计算
23
计算游戏
84
基础算术运算
13
逻辑推理
16
记忆力训练
10
文字语言类
17
颜色图形认知类
12
专注力类
10
其他
6