LearningCurveDisplay#

class sklearn.model_selection.LearningCurveDisplay(*, train_sizes, train_scores, test_scores, score_name=None)[源代码]#

学习曲线可视化。

It is recommended to use from_estimator to create a LearningCurveDisplay instance. All parameters are stored as attributes.

阅读更多的 User Guide 有关可视化API的一般信息和 detailed documentation 关于学习曲线可视化。

Added in version 1.2.

参数:
train_sizes形状的nd数组(n_unique_ticks,)

用于生成学习曲线的训练示例的数量。

train_scores形状的ndarray(n_ticks,n_cv_folds)

Scores on training sets.

test_scores形状的ndarray(n_ticks,n_cv_folds)

测试集上的分数。

score_name字符串,默认=无

使用的乐谱名称 learning_curve. It will override the name inferred from the scoring parameter. If score is None, we use "Score" if negate_score is False and "Negative score" otherwise. If scoring is a string or a callable, we infer the name. We replace _ '用空白并大写第一个字母。我们删除  `neg_ 并将其替换为 "Negative" 如果 negate_scoreFalse 或者只是将其删除,否则。

属性:
ax_matplotlib轴

Axes with the learning curve.

figure_matplotlib图

包含学习曲线的图。

errorbar_matplotlib艺术家或无列表

std_display_style"errorbar" ,这是一个列表 matplotlib.container.ErrorbarContainer 对象如果使用其他风格, errorbar_None .

lines_matplotlib艺术家或无列表

std_display_style"fill_between" ,这是一个列表 matplotlib.lines.Line2D 对应于平均训练和测试分数的对象。如果使用其他风格, line_None .

fill_between_matplotlib艺术家或无列表

std_display_style"fill_between" ,这是一个列表 matplotlib.collections.PolyCollection 对象如果使用其他风格, fill_between_None .

参见

sklearn.model_selection.learning_curve

计算学习曲线。

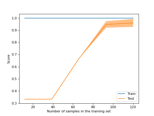
示例

>>> import matplotlib.pyplot as plt
>>> from sklearn.datasets import load_iris
>>> from sklearn.model_selection import LearningCurveDisplay, learning_curve
>>> from sklearn.tree import DecisionTreeClassifier
>>> X, y = load_iris(return_X_y=True)
>>> tree = DecisionTreeClassifier(random_state=0)
>>> train_sizes, train_scores, test_scores = learning_curve(
...     tree, X, y)
>>> display = LearningCurveDisplay(train_sizes=train_sizes,
...     train_scores=train_scores, test_scores=test_scores, score_name="Score")
>>> display.plot()
<...>
>>> plt.show()
../../_images/sklearn-model_selection-LearningCurveDisplay-1.png
classmethod from_estimator(estimator, X, y, *, groups=None, train_sizes=array([0.1, 0.325, 0.55, 0.775, 1.]), cv=None, scoring=None, exploit_incremental_learning=False, n_jobs=None, pre_dispatch='all', verbose=0, shuffle=False, random_state=None, error_score=nan, fit_params=None, ax=None, negate_score=False, score_name=None, score_type='both', std_display_style='fill_between', line_kw=None, fill_between_kw=None, errorbar_kw=None)[源代码]#

从估计器创建学习曲线显示。

阅读更多的 User Guide 有关可视化API的一般信息和 detailed documentation 关于学习曲线可视化。

参数:
estimator实现“fit”和“predict”方法的对象类型

为每次验证而克隆的该类型的对象。

X形状类似阵列(n_samples,n_features)

训练数据,在哪里 n_samples 是样本数量和 n_features 是功能的数量。

y形状的类似阵列(n_samples,)或(n_samples,n_outputs)或无

用于分类或回归的目标相对于X;无监督学习。

groups形状类似数组(n_samples,),默认=无

Group labels for the samples used while splitting the dataset into train/test set. Only used in conjunction with a "Group" cv instance (e.g., GroupKFold).

train_sizes形状类似数组(n_ticks,), 默认=NP.linSpace(0.1,1.0,5)

将用于生成学习曲线的训练示例的相对或绝对数量。如果dype是float,则它被视为训练集最大大小(由所选验证方法确定)的一小部分,即它必须在(0,1]内。否则,它被解释为训练集的绝对大小。请注意,对于分类,样本数量通常必须足够大,以包含每个类别的至少一个样本。

cvint,交叉验证生成器或可迭代对象,默认=无

确定交叉验证拆分策略。简历的可能输入包括:

  • 无,要使用默认的5重交叉验证,

  • int,指定中的折叠数 (Stratified)KFold ,

  • CV splitter ,

  • 可迭代产出(训练、测试)分裂为索引数组。

对于int/No输入,如果估计器是分类器并且 y 是二元或多类, StratifiedKFold 采用了在所有其他情况下, KFold 采用了这些拆分器实例化为 shuffle=False 因此不同呼叫之间的拆分将是相同的。

User Guide 这里可以使用的各种交叉验证策略。

scoring字符串或可调用,默认=无

字符串(请参阅 的 scoring 参数:定义模型评估规则 )或具有签名的记分器可调用对象/函数 scorer(estimator, X, y) (见 可召唤得分手 ).

exploit_incremental_learning布尔,默认=假

如果估计器支持增量学习,则这将用于加快对不同训练集大小的匹配。

n_jobsint,默认=无

要并行运行的作业数。训练估计器和计算分数在不同的训练和测试集中并行进行。 None 意思是1,除非在a中 joblib.parallel_backend 上下文 -1 意味着使用所有处理器。看到 Glossary 了解更多详细信息。

pre_dispatchint或url,默认=' all '

并行执行的预调度作业数(默认值为all)。该选项可以减少分配的内存。str可以是像'2*n_jobs'这样的表达式。

verboseint,默认=0

控制详细程度:越高,消息越多。

shuffle布尔,默认=假

是否在根据“train_sizes”获取训练数据的开头之前对训练数据进行洗牌。

random_stateint,RandomState实例或无,默认=无

时使用 shuffle 是真的传递一个int值,以便在多个函数调用中获得可重复的输出。看到 Glossary .

error_score“raise”或数字,默认=NP.nan

如果估计量匹配中出现错误,则指定给分数的值。如果设置为“raise”,则会引发错误。如果给出了数字值,则会引发FitUtiledWarning。

fit_paramsdict,默认=无

要传递给估计器的匹配方法的参数。

axmatplotlib轴,默认=无

轴反对绘图。如果 None ,创建新图形和轴。

negate_score布尔,默认=假

是否否定通过获得的分数 learning_curve .当使用由 neg_*scikit-learn .

score_name字符串,默认=无

用于装饰情节y轴的乐谱名称。它将覆盖从 scoring parameter. If score is None, we use "Score" if negate_score is False and "Negative score" otherwise. If scoring is a string or a callable, we infer the name. We replace _ '用空白并大写第一个字母。我们删除  `neg_ 并将其替换为 "Negative" 如果 negate_scoreFalse 或者只是将其删除,否则。

score_type{“测试”,“train”,“both”},默认=“both”

要绘制的乐谱类型。可以是一个 "test" , "train" ,或者 "both" .

std_display_style{“errorbar”,“fill_between”}或无,默认值=“fill_between”

用于显示平均分数周围的分数标准差的样式。如果 None ,不显示标准差的表示。

line_kwdict,默认=无

其他关键字参数传递给 plt.plot 用于绘制平均分。

fill_between_kwdict,默认=无

其他关键字参数传递给 plt.fill_between 用于绘制分数标准差。

errorbar_kwdict,默认=无

其他关键字参数传递给 plt.errorbar 用于绘制平均分和标准差分。

返回:
display : LearningCurveDisplayLearningCurveDisplay

存储计算值的对象。

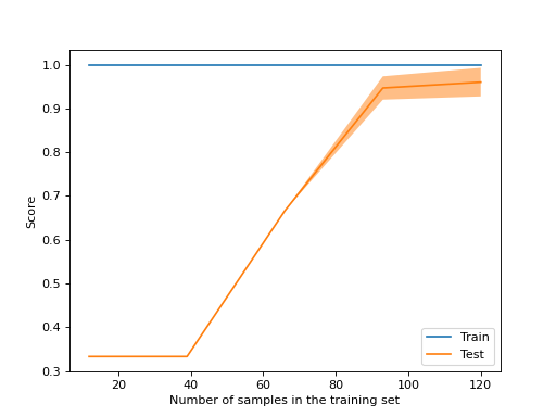
示例

>>> import matplotlib.pyplot as plt
>>> from sklearn.datasets import load_iris
>>> from sklearn.model_selection import LearningCurveDisplay
>>> from sklearn.tree import DecisionTreeClassifier
>>> X, y = load_iris(return_X_y=True)
>>> tree = DecisionTreeClassifier(random_state=0)
>>> LearningCurveDisplay.from_estimator(tree, X, y)
<...>
>>> plt.show()
../../_images/sklearn-model_selection-LearningCurveDisplay-2.png
plot(ax=None, *, negate_score=False, score_name=None, score_type='both', std_display_style='fill_between', line_kw=None, fill_between_kw=None, errorbar_kw=None)[源代码]#

情节可视化。

参数:
axmatplotlib轴,默认=无

轴反对绘图。如果 None ,创建新图形和轴。

negate_score布尔,默认=假

是否否定通过获得的分数 learning_curve .当使用由 neg_*scikit-learn .

score_name字符串,默认=无

用于装饰情节y轴的乐谱名称。它将覆盖从 scoring parameter. If score is None, we use "Score" if negate_score is False and "Negative score" otherwise. If scoring is a string or a callable, we infer the name. We replace _ '用空白并大写第一个字母。我们删除  `neg_ 并将其替换为 "Negative" 如果 negate_scoreFalse 或者只是将其删除,否则。

score_type{“测试”,“train”,“both”},默认=“both”

要绘制的乐谱类型。可以是一个 "test" , "train" ,或者 "both" .

std_display_style{“errorbar”,“fill_between”}或无,默认值=“fill_between”

用于显示平均分数周围的分数标准差的样式。如果无,则不显示标准差表示。

line_kwdict,默认=无

其他关键字参数传递给 plt.plot 用于绘制平均分。

fill_between_kwdict,默认=无

其他关键字参数传递给 plt.fill_between 用于绘制分数标准差。

errorbar_kwdict,默认=无

其他关键字参数传递给 plt.errorbar 用于绘制平均分和标准差分。

返回:
display : LearningCurveDisplayLearningCurveDisplay

存储计算值的对象。