二项分布在线计算

发布日期 : 2025-12-17 01:41:53 UTC      

分类 : 概率统计

访问量: 1393 次浏览

计算分布率 给定小于n的整数k进行有关计算 计算累积函数的反函数 计算落在区间内外的概率
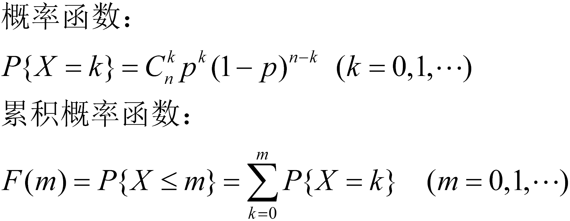
设X服从B(n,p),n是独立试验的总次数,p是每次试验时某事件A发生的概率,本选项计算X的分
布率,如果n>11也只显示头12个概率值。在下面输入n和p,然后单击“开始计算”按钮:
k01234567891011
p            
1概率函数
1分布函数

本网页进行有关二项分布的各种计算,二项分布的概率函数和累积概率函数如左边公式所示。

在上面的列表中选择要计算的内容,然后在左下面输入相关的数据后,单击“开始计算”按钮进行计算。